安徽财经大学考研复试分数线(近3年汇总)
2025-01-20 08:04:00来源: 网络
- 【择 校】Ai智能择校 | 考研招简合集 | 历年分数线 | 报录比查询 | 计算机择校 | 法硕择校
- 【统 考】历年真题合集 | 长难句备考 | 阅读精刷材料 | 考研新大纲 | 肖四肖八 | 备考资料包
- 【热 门】计算机资料 | 计算机资料 | 法硕资料 | MBA | 推免生 | 保研攻略
- 【工 具】 考研院校查询 | 英语能力测评 | 管综能力测评 | 政治能力测评 | 时政刷题 | 复试小程序
安徽财经大学考研复试分数线(近3年汇总)!考研复试分数线是每一位考研学子在初试成绩公布后最为关注的问题之一。了解考研复试分数线的设定机制、具体要求及如何应对,对于考生能否顺利进入理想的研究生院至关重要。
一、2024年安徽财经大学考研复试分数线
安徽财经大学2024年硕士研究生招生各专业复试分数线

附2024年考研国家线

二、2023年安徽财经大学考研复试分数线
安徽财经大学2023年硕士研究生招生各专业复试分数线

附2023年考研国家线


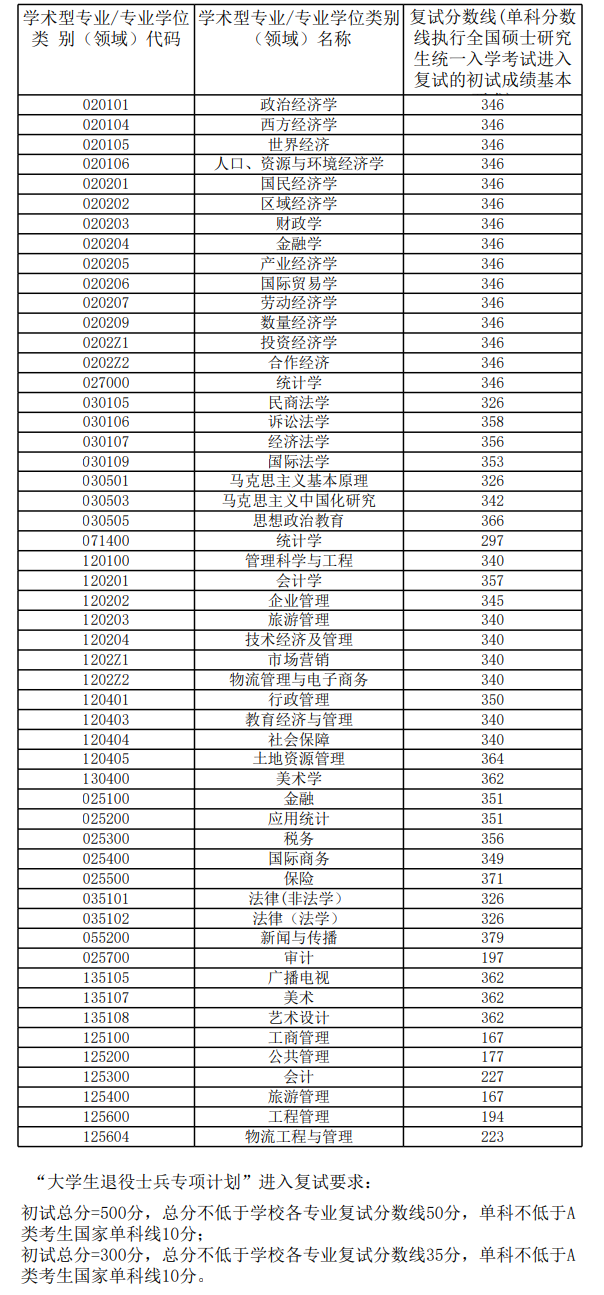
三、2022年安徽财经大学考研复试分数线
安徽财经大学2022年硕士研究生招生各专业复试分数线
| 学术型专业/专业学位类 别(领域)代码 | 学术型专业/专业学位类别(领域)名称 | 复试分数线(单科分数线执行全国硕士研究生统一入学考试进入复试的初试成绩基本要求) |
| 020101 | 政治经济学 | 360 |
| 020102 | 经济思想史 | 360 |
| 020104 | 西方经济学 | 360 |
| 020105 | 世界经济 | 360 |
| 020106 | 人口、资源与环境经济学 | 360 |
| 020201 | 国民经济学 | 360 |
| 020202 | 区域经济学 | 360 |
| 020203 | 财政学 | 360 |
| 020204 | 金融学 | 360 |
| 020205 | 产业经济学 | 360 |
| 020206 | 国际贸易学 | 360 |
| 020207 | 劳动经济学 | 360 |
| 020209 | 数量经济学 | 360 |
| 0202Z1 | 投资经济学 | 360 |
| 0202Z2 | 合作经济 | 360 |
| 027000 | 统计学 | 360 |
| 030105 | 民商法学 | 376 |
| 030106 | 诉讼法学 | 347 |
| 030107 | 经济法学 | 373 |
| 030109 | 国际法学 | 335 |
| 030501 | 马克思主义基本原理 | 351 |
| 030503 | 马克思主义中国化研究 | 335 |
| 030505 | 思想政治教育 | 356 |
| 071400 | 统计学 | 290 |
| 120100 | 管理科学与工程 | 353 |
| 120201 | 会计学 | 355 |
| 120202 | 企业管理 | 353 |
| 120203 | 旅游管理 | 353 |
| 120204 | 技术经济及管理 | 353 |
| 1202Z1 | 市场营销 | 353 |
| 1202Z2 | 物流管理与电子商务 | 353 |
| 120401 | 行政管理 | 353 |
| 120403 | 教育经济与管理 | 381 |
| 120404 | 社会保障 | 363 |
| 120405 | 土地资源管理 | 353 |
| 130400 | 美术学 | 361 |
| 025100 | 金融 | 360 |
| 025200 | 应用统计 | 360 |
| 025300 | 税务 | 365 |
| 025400 | 国际商务 | 372 |
| 025500 | 保险 | 360 |
| 035101 | 法律(非法学) | 335 |
| 035102 | 法律(法学) | 335 |
| 055200 | 新闻与传播 | 388 |
| 025700 | 审计 | 194 |
| 135105 | 广播电视 | 399 |
| 135107 | 美术 | 361 |
| 135108 | 艺术设计 | 376 |
| 125100 | 工商管理 | 170 |
| 125200 | 公共管理 | 178 |
| 125300 | 会计 | 218 |
| 125400 | 旅游管理 | 170 |
| 125600 | 工程管理 | 189 |
“大学生退役士兵专项计划”进入复试要求:
初试总分=500分,不低于学校各专业复试分数线50分,单科不低于国家A区单科线10分;
初试总分=300分,不低于学校各专业复试分数线40分,单科不低于国家A区单科线10分。
附2022年考研国家线:



点击展开阅读全文
下一篇:
山东农业大学考研复试分数线(近3年汇总)
版权及免责声明:
一、凡本网注明“稿件来源:新东方在线”的内容,版权均属北京新东方迅程网络科技股份有限公司所有,未经授权不得转载、链接、转贴或以其他方式复制发表。获授权使用者须注明来源,违者将依法追责。
二、本网未注明上述来源的转载内容,旨在传递更多信息,并不代表赞同其观点或证实其真实性。使用方须保留本网注明的来源,并自负法律责任。擅自篡改来源将依法追责。
三、若内容涉及版权等问题,请联系weisen@xdf.cn处理。
