扫码加入训练营

牢记核心词

学习得礼盒

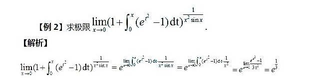
2021考研数学高数练习题及答案解析<2>

2020-01-07 10:10:00来源:网络

  2021考研的同学们现在正处于早前规划阶段,建议数学基础不好的小伙伴早点开始复习,本文小册子整理了“2021考研数学高数练习题及答案解析<2>”的相关内容,希望对大家有所帮助。

  以上是为考生整理的“2021考研数学高数练习题及答案解析<2>”的相关内容,希望对大家有帮助,更多数学高数复习知识尽在数学模拟试题频道!

【考研数学】资料这里有

考研英语核心词汇营

背词+听课+练习+督学,学习得礼盒

更多资料
更多>>
  • 考研哪些专业需要考高数?

    为了让考研的同学更高效地复习考研数学,新东方在线考研频道归纳整理了“考研哪些专业需要考高数?”,备考考研数学的同学可以了解一下,希望对大家有所帮助。

    来源 : 网络 2025-06-18 08:00:00 关键字 : 考研数学高数

  • 考研数学不涉及高数的专业有哪些?

    为了让考研的同学更高效地复习考研数学,新东方在线考研频道归纳整理了“考研数学不涉及高数的专业有哪些?”,备考考研数学的同学可以了解一下,希望对大家有所帮助。

    来源 : 网络 2025-06-18 08:02:00 关键字 : 考研数学

  • 考研数学:微分方程与应用选择题

    为了让考研的同学更高效地复习考研数学,新东方在线考研频道归纳整理了“考研数学:微分方程与应用选择题”,备考考研数学的同学可以了解一下,希望对大家有所帮助。

    来源 : 网络 2025-06-18 08:00:00 关键字 : 考研数学

  • 考研数学高等数学部分有哪些重要知识点?

    为了让考研的同学更高效地复习考研数学,新东方在线考研频道归纳整理了“考研数学高等数学部分有哪些重要知识点?”,备考考研数学的同学可以了解一下,希望对大家有所帮助。

    来源 : 网络 2025-06-17 08:58:12 关键字 : 考研数学

  • 一元函数微分学部分主要讲解哪些概念和定理?

    为了让考研的同学更高效地复习考研数学,新东方在线考研频道归纳整理了“一元函数微分学部分主要讲解哪些概念和定理?”,备考考研数学的同学可以了解一下,希望对大家有所帮助。

    来源 : 网络 2025-06-17 08:57:30 关键字 : 一元函数微分学

更多内容

关注新东方在线考研服务号

获得21考研真题及答案解析

1. 打开手机微信【扫一扫】,识别上方二维码;
2.点击【关注公众号】,获取资料大礼包。

免费下:2010-2026年考研真题及答案
更多>>
更多公开课>>
更多>>
更多资料